lunes, 11 de noviembre de 2013
domingo, 3 de noviembre de 2013
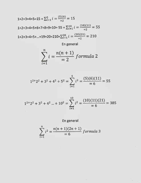
lunes, 21 de octubre de 2013
domingo, 13 de octubre de 2013
martes, 8 de octubre de 2013
jueves, 3 de octubre de 2013
domingo, 29 de septiembre de 2013
8° EXAMEN DE CALCULO INTEGRAL
FOTOS DEL EQUIPO RESOLVIENDO PROBLEMAS DE INTEGRACION EN EL AULA DE CLASES
VIDEO DE LA EXPLICACION DEL PROSESO PARA RESOLVERLO
https://www.youtube.com/watch?v=SDGueO61YsU
VIDEO DE LA EXPLICACION DEL PROSESO PARA RESOLVERLO
https://www.youtube.com/watch?v=SDGueO61YsU
domingo, 22 de septiembre de 2013
martes, 10 de septiembre de 2013
35 ANIVERSARIO DEL CECYT N°15 ´´DIODORO ANTUNES ECHEGARAI´´
domingo, 8 de septiembre de 2013
domingo, 1 de septiembre de 2013
domingo, 18 de agosto de 2013
domingo, 11 de agosto de 2013
1° EXAMEN DE CALCULO INTEGRAL
EXAMEN DE CALCULO INTEGRAL
1.- ∫_x^11=  x^12/12+C 
2.- ∫_X^(-7)= X^(-6)/(-6)+C
3.-∫_X^(2⁄3)=X^(5⁄3)/(5⁄3)+C
4.-∫_X^(7⁄5)=X^(12⁄5)/(12⁄5)〗+C
5.-∫_X^(6⁄8)=X^(14⁄8)/(14⁄8)+C
6.-∫∛X=∫_X^(1⁄3)= X^(4⁄3)/(4⁄3)+C
7.- ∫_X^((-4)⁄7)= X^((-3)⁄7)/((-3)⁄7)+C
8. ∫_X^((-9)⁄5)= X^((-4)⁄5)/((-4)⁄5)+C
9.-∫X^(-4)/X^(-6) =∫_X^2=X^3/3+C
10.-∫X^3.X^5= ∫_X^8=X^9/9+C
2.- ∫_X^(-7)= X^(-6)/(-6)+C
3.-∫_X^(2⁄3)=X^(5⁄3)/(5⁄3)+C
4.-∫_X^(7⁄5)=X^(12⁄5)/(12⁄5)〗+C
5.-∫_X^(6⁄8)=X^(14⁄8)/(14⁄8)+C
6.-∫∛X=∫_X^(1⁄3)= X^(4⁄3)/(4⁄3)+C
7.- ∫_X^((-4)⁄7)= X^((-3)⁄7)/((-3)⁄7)+C
8. ∫_X^((-9)⁄5)= X^((-4)⁄5)/((-4)⁄5)+C
9.-∫X^(-4)/X^(-6) =∫_X^2=X^3/3+C
10.-∫X^3.X^5= ∫_X^8=X^9/9+C
sábado, 10 de agosto de 2013
INTRODUCCION DEL CÁLCULO INTEGRAL
CÁLCULO INTEGRAL
ANTECEDENTES DEL CALCULO INTEGRAL.
 En el antiguo Egipto, circa 1800 a.C., con el
papiro Moscú, se demuestra que ya se conocía una fórmula para calcular el
volumen de un tronco piramidal. La primera técnica sistemática documentada
capaz de determinar integrales es el método de exhauscion  de Eudoxo (circa 370 a. C.), que trataba de
encontrar áreas y volúmenes a base de partirlos en un número infinito de formas
para las cuales se conocieran el área o el volumen. Este método fue
desarrollado y usado por Arquímedes, que lo empleo para calcular áreas de
parábolas y una aproximación al área del círculo. Métodos similares se
desarrollaron en china alrededor del siglo III por Liu Hui, que los uso para
encontrar el área del círculo. A comienzos del sigloXVII, se produjeron nuevos
adelantos con las aportaciones de Barrow y Torricelli, que presentaron los
primeros indicios de una conexión entre la integración y la derivación.
En la
teoría de fluxiones de Newton la mutua inversibilidad de los problemas del
cálculo de fluxiones y fluentes se evidenciaba claramente. Para Leibniz el
problema era más complejo: la integral surgía inicialmente como definida. No
obstante, la integración se reducía prácticamente a la búsqueda de funciones
primitivas. La idea de la integración indefinida fue inicialmente la dominante.
El cálculo
integral incluía además de la integración de funciones, los problemas y las
ecuaciones diferenciales, el cálculo variación, la teoría de funciones
especiales. Tal formulación general creció inusualmente rápido. Euler necesito
en los años 1768 y 1770 tres grandes volúmenes para dar una exposición sistemática
de él.   Según Euler el Cálculo Integral constituía un método de
búsqueda, dada la relación entre los diferenciales o la relación entre las
propias cantidades. La operación con lo que esto se obtenía se denominaba
integración. 
Los
logros principales en la construcción del Cálculo Integral inicialmente
pertenecieron a J. Bernoulli y después a Euler, cuyo aporte fue inusitadamente
grande. La integración llevada por este último hasta sus últimas consecuencias
y las cuadraturas por él encontradas, todavía constituyen el marco de todos los
cursos y tratados modernos sobre Cálculo Integral, cuyos textos actuales son
sólo modificaciones de los tratados de Euler en lo relativo al lenguaje. Estos
juicios se confirman con la revisión concreta del famoso Cálculo Integral de
Euler y su comparación con los textos actuales.
¿Qué problemas resuelve el Cálculo
Integral?
Los problemas que resuelve el calculo integral, tienen su origen, como ya se ha dicho en una epoca anterior alos del calculo diferencial, por tener aquellos mayor relación con las necesidades de la vida real.
Los problemas fundamentales que resuelve el calculo integral es el área encerrada en una curva.
el cálculo integral es le proceso inverso a la derivación llamado integración y es el estudio de la acumulación de cantidades.la integral es una operación cuyo objeto es averiguar la función primitiva de de una función diferencial. también sirve para obtener volúmenes y en física para obtener funciones diversas.
pERSONAJES
DESTACADOS.
ISAAC NEWTON 
Físico, filosofo, teólogo, alquimista, inventor
y matemático, descubrió los principios de su cálculo integral y diferencial de
1665-1666.
Abordo el desarrollo del cálculo a partir de la
geometría analítica desarrollando un enfoque geométrico y analítico de las
derivadas.
GOTTFRIED WILHELM
LEIBNIZ
Filósofo, matemático,
bibliotecario y político alemán.
Invento el sistema
binario, fundamento de virtualmente todas las arquitecturas de las computadoras
actuales.
LEONARD EULER
Otras obras trataban
del cálculo (incluido el cálculo de variaciones), la teoría de números, números
imaginarios y álgebra determinada e indeterminada.
ÉPOCA DEL DESARROLLO
El cálculo integral se
desarrolló principalmente en las épocas siguientes. 
·        
DE LA
ANTIGÜEDAD A LA EDAD MEDIA.
·        
RENACIMIENTO
·        
SIGLOS XVII y XVIII
·        
SIGLOS XIX
Y XX
IMPORTANCIA DEL ESTUDIO DE
CALCULO INTEGRAL 
El cálculo proporciona a los estudiantes,
ingenieros y tecnólogos los conocimientos necesarios para operar y aplicar
funciones matemáticas con variable real en el planteamiento y solución de
situaciones prácticas que llegan a presentarse en su ejercicio profesional. La
integración se considera un eje fundamental para el planteamiento y desarrollo
de conceptos que permiten entender y asimilar conocimientos de casi todas las
áreas de la ingeniería y la tecnología aplicada, especialmente en la física,
para finalmente abordar temáticas generales del saber específico en el campo
profesional.
Suscribirse a:
Comentarios (Atom)



























